
Recently in conversation with one of my players I was led to ponder whether or not SpaceX is revolutionizing space travel, and whether it has driven costs down to new record levels. My initial response was skeptical, but upon reflection I thought there should be data on this, and it should be possible to make some judgements about whether SpaceX is really doing what people claim. This post is an attempt to understand whether SpaceX rockets, in particular the Falcon 9, really are as cheap as people say, whether SpaceX has revolutionized space travel, and what we can expect in the future from this country or from rocketry in general. The key objectives are to:
- Determine the truth of the claims about the cost of SpaceX rockets
- Compare these claims with historical trends in rocket prices
- Examine the role of reusable rockets in these trends
I hope by the end of this post to penetrate some of the hype around this company’s work, and understand a little more about the economics of space travel generally. A warning: this post is likely to be long, involves lots of dry figures, and is predicated on the assumption that Musk is a dishonest businessman.
Why do this?
First of all, why do this at all? Partly because it’s a rainy public holiday here and I have nothing better to do, but mostly because I think Elon Musk is an utter and complete fraud, who lies about all his companies’ activity, over-hypes his products, delivers dangerous, over-priced or poor quality goods, and wrecks the companies he runs. This is obvious for Tesla, Solar City and (now) Twitter, so it doesn’t seem unreasonable that the same would be true of SpaceX. But unlike Tesla and Twitter, SpaceX does seem to be delivering an actual usable product to high performance standards, so maybe its achievements buck the general Musk trend towards hyperbole and failure? However, on the flip side, Musk has spent a lot of time hyping his plans to go to Mars with SpaceX and everything about that project is obvious vapourware, hype and bullshit. The Youtube Common Sense Skeptic channel goes through this in great detail, showing how every aspect of everything Musk says about his Mars plans is completely and insanely untrue. So why should we assume the rest of his SpaceX plans are anything different? Remember, the first rule about liars is that if you know someone has lied repeatedly and consistently in the past, you should not trust anything they tell you now.
So actually I think it is possible SpaceX is burning money hand over fist, lying about the price of its launches and losing money on them. It’s a “disruptive start up” and it’s not uncommon for this kind of business to over-hype its product while burning through huge amounts of venture capital money. They do this either because they’re built on a completely unrealistic business model and refuse to admit it (Uber, Wework, and Theranos are examples of this); or they hope to smash regulatory hurdles to reduce costs and become profitable (AirBNB, Uber, Lyft); they’re straight-out fraud and hoping to burn through the money and no-one will notice (Theranos); they’re hoping to drive down the price so far that their competitors go bust and then they can ramp up prices before the venture capital runs out (Uber); they’re a business idea that depends on hype and people not noticing how awful the actual product is (AirBNB); or they’re hoping for a breakthrough that will suddenly render their business model profitable, or is the secret reason they’re doing it all (Uber’s self-driving taxi idea). It’s possible that this is what SpaceX is doing – keeping prices low and burning through venture capital in hopes of pushing out its opposition so that it can start charging monopoly rates, and/or hoping for a breakthrough in tech that will lower prices so much it can actually compete.
The history of rocket prices
Launching stuff into space doesn’t come cheap, and getting stuff up there is a big technological challenge. Humans have been launching rockets into space since 1957, and the general trend has been to see lower costs over time, with a noticeable hiccup in costs during the Space Shuttle era when the price of re-using the vehicle itself considerably inflated costs. Figure 1 shows the long-term pattern of prices for major rockets, and is divided into approximately four stages of development, characterised as Vanguard (when the first rockets were developed), Saturn V (when non-reusable rocket technology matured), Shuttle (when prices rose for the use of this orbital vehicle) and Falcon, when SpaceX started dropping prices. I took Figure 1 from a paper by Harry Jones, entitled The Recent Large Reduction in Space Launch Cost. I will recreate figure 1 with some changes later in this post.

Rocket launch prices are typically given in dollars per kg; figure 1 shows them in current 2018 prices (so early prices have been adjusted for inflation) but not, as far as I know, in purchase-power-parity prices (a few of the data points in the picture are from non-US sources; we’ll come back to that). Most rockets last for long periods of time, and the prices given in the figure are for the first launch date, not for example the last date, or tracking price over time. A good rule of thumb for a rocket launch is to assume it might cost about $10,000 per kg, and a typical rocket will launch 4000 – 20000 kg into space at a cost of between 50-200 million dollars. It’s not cheap to get shit up there!
But note the extremely low price of Falcon 9: it is listed as $2,700 per kg in Figure 1, which is enormously cheaper than the nearest competitor. Figure 2, which I took from a reddit post, shows different prices alongside the price of other rocket companies currently in operation – there are now a lot of startups in the commercial space industry, since Obama deregulated it in 2010, and these have been pushing their own prices down. In Figure 2 you can see a different set of figures for Falcon 9, with the reusable having a price of $4,133 per kg, and Falcon 9 divided into two kinds of launch (reusable and expendable). Figure 2 puts Falcon 9 prices to low earth orbit in a similar range to the Russian Proton M, or the US Vulcan rocket.

But as I will show, the prices listed in these figures are dishonest, and we will discuss the true price of launching Falcon 9. We will also analyze the data from Figure 1 in a little more detail, and see what we can learn from it.
Claims about SpaceX
The common claims made about how SpaceX has “revolutionized” space travel are available at booster sites like Space.com, which lists 8 mostly bullshit ways in which SpaceX has completely transformed space travel. For an example of bullshit consider their claim that it has made the uniforms fashionable … also note the uncritical reference to “German-American” rocket pioneer Werner von Braun (spoiler: he was a Nazi). In amongst the various nonsense we can find two main claims:
- SpaceX has reduced the cost of space travel, typically people giving unsourced claims that it has driven prices down, or using phrases that Musk himself constantly uses but clearly doesn’t understand like “by an order of magnitude”.
- SpaceX has developed completely new technology like reusable rockets which have both helped to push down the price of star travel and opened up new fields
Neither of these claims, as we will see, has any basis in reality. Incidentally, during this search for claims about SpaceX, I learnt that Musk claims to have spent 350 million dollars developing Falcon 9 and 750 million developing Falcon Heavy. I will use these numbers even though I don’t believe anything Musk says.
Methods
For this post I have performed three main analyses:
- Analysis of SpaceX funding sources and costs
- Analysis of SpaceX launch activity and prices
- Analysis of the history of rocket launch prices
Here I briefly describe the methods I used for each of these analyses.
SpaceX Funding and costs
SpaceX obtains funding from launching rockets, Starlink subscriptions, government contracts, and venture capital. For launch prices I used the stated prices on the SpaceX website and associated forums, generally given at 62 million for a new Falcon 9 rocket and 50 million for a recycled one. Data on Starlink subscriptions I obtained from a website called nextbigfuture, for what that’s worth. I obtained contract information from a search on the govconwire.com website, which lists contracts and funding. Venture capital information I obtained from crunchbase.com. I put this data in mostly for 2017 onward (government contracts), 2010 onward (launches), 2016 onward (Starlink) and 2002 onward (venture capital). Note that some contract data is for “potential” contracts, which may vary in detail on delivery, but I wasn’t able to work out exactly how and when the money was delivered. For some obvious future contracts I did not include them as a funding source, but my numbers on government contracts are definitely shaky because of this.
For costs I used information on the total number of Starlink satellites launched from Wikipedia, cost of a satellite from nextbigfuture, and vague reports on Falcon 9 launch costs sourced around the web – about 50 million dollars for a launch of a new rocket, and 15 million for a reused rocket (these figures are attributed to Musk in interviews but seem dodgy to me). I used google to get the total number of current employees and their average salary (11,000 or so, at an average salary of $90,000) and assumed on-costs of 30%.
Note that SpaceX is not a public company and it is difficult to identify exactly how much money it has or is using. I do not know if it pays dividends on the shares it sold, what its rental or real estate costs are, how much money it is burning in fines and compensation, and any interest repayments on loans. This is only a blog post, after all!
SpaceX launch activity and prices
I obtained Falcon 9 launch data from Kaggle, though I think it’s just a scrape from the Wikipedia website. This data contains the date of the launch, the booster used, the client, the payload and its weight, whether the booster was new or used, and the result of both the launch itself and the attempt to recycle the booster. A small number of launches were classified launches for US government defense contractors, with no information on the weight or type of payload.
I also visited the SpaceX website and put in data on small payloads for their Rideshare plan, which confirmed that for all payload weights up to 800kg SpaceX charges $6000/kg, much higher than the sticker price and generally consistent with the prices in Figure 2 for other mature competitors. Not quite revolutionary is it …
Once I downloaded this data and did some unpleasant work importing it to Stata I produced some basic summaries of the data, such as mean payload weights, maximum weights, proportion of flights that were government contracts, etc. I also calculated a price/kg for each flight based on the sticker price of 62 million for a new rocket or 50 million for a recycled one, and also attempted to identify rockets that were new on launch and were not recycled (these would be “expendable” rockets).
Analysis of the history of rocket prices
I imported data from the Jones paper (it is provided in the Appendix) and added some additional information: I categorized rockets as communist or non-communist, and added some additional data for Falcon 9 launches based on the analysis of launch prices to give some more reasonable numbers for these launch prices. I deleted Falcon Heavy (which I don’t have launch data on and which seems largely to be vapourware at the moment) and made a fake data point for Communist launches in 2018 (these are still happening – China has a whole communist space station now!).
I then fitted a regression model of natural log of launch price per kg by year, with a term for communist/non-communist, generated the predicted values of price per kg from this model, and plotted curves for communist and non-communist launches. I plotted these against the observed price data and added Falcon 9 data separately. I ran the models and plotted for launches after 1961, because the first 4 years of the rocket program were, obviously, slightly special.
This gives a reproduction of Figure 1 with a little more detailed statistical analysis, with very different implications.
Results
The first thing I want to say before we get into details is that the sticker price everyone reports for Falcon 9, of $2700 / kg to launch into low earth orbit, is a lie, or at least very dishonest. This is taken from the SpaceX website description of Falcon 9, which states that it has a payload of 22,800 kg, and the common price of 62 million dollars for a launch of a new rocket. This is dishonest because it gives the payload for a fully expendable Falcon 9 rocket, but this rocket does not exist. No Falcon 9 is intended to be fully expendable, and if such a rocket existed it would need a separate production line to the current Falcon 9s in use. Reusable rockets need to be more robust and stronger than expendable ones, which means they have a different frame and fairings. This discussion of reusability makes clear that up to 40% of the payload can be lost in a reusable rocket due to the need to have a stronger structure and to keep some fuel for re-entry. You can’t just build a reusable rocket and use it as if it were expendable! This is backed up by the data – in 165 flights on which I have data, no flight ever flew at full payload, but there are multiple flights at a maximum value of 16,250 kg. The true maximum payload of the Falcon 9 rocket is 16,250 kg, not 22,800kg, and it will never fly at this value. In case you doubt me, note that all the max payload flights were Starlink deliveries, and it is just inconceivable that SpaceX would never use the full payload of their rockets to deliver their own satellites to orbit. The hard limit on a Falcon 9 rocket is 16,250kg, and the website is lying.
As we will see, this sticker price is also dishonest because in reality the rockets only ever fly fully laden when they are delivering Starlink satellites, and often the price paid by commercial buyers is much higher than 62 million. We will explore this below.
SpaceX funding and costs
SpaceX has been burning through money at a staggering rate. Here are my estimates of its income streams:
- Approximately $7.5 billion in venture capital since 2017
- Approximately $15 billion in government contracts since 2016
- Approximately $3 billion in commerical launch fees since 2016
- Approximately $3.75 billion in Starlink subscriptions since 2016
This amounts to about $4.8 billion in income per year. Its annual costs over the same period appear to be about $3.7 billion if we assume a recycled rocket costs 15 million to launch, a new rocket 50 million, and a starlink satellite costs $250,000 to build.
From this we should assume that SpaceX is making $1 billion per year in profit, if it has no dividend payment, interest or other expenses. Obviously this isn’t true (someone probably has to buy some stationery!) and maybe its other operating costs overrun this spare billion. But I think the story is likely dire. Why is SpaceX raising venture capital worth a billion a year if it is also getting enormous amounts of money in government contracts? I would suggest it is because it is losing money hand over fist on launches, which actually cost a half billion more than Musk is letting on, and/or rocket development (particularly Falcon Heavy and the Starship project) are costing an enormous amount more than he has let on.
Let’s also note that more than half of SpaceX’s revenue is government contracts. Without those government contracts, it would be dead in the water. Note that some of these contracts cover specific launch tasks, and almost always pay much more per launch than the SpaceX sticker price. For example, the Heliosphere contract pays 109 million to launch a satellite for NASA in 2024, while the cargo resupply mission to the ISS covers 32 flights for $14 billion (about $400 million per flight). Nobody in NASA seems to believe that the cost of a single mission is a mere $50 million!
SpaceX launch costs
The data on SpaceX launches covers Falcon 9 launches from 2002 to mid-2022, for a total of 165 launches. Of these 45 (26.5%) are aerospace/military contracts, and 52 (30.6%) are SpaceX flights, mostly delivering starlink satellites to low earth orbit (LEO) were they can vandalize the night sky in service of a poor-quality internet supply. Most of the flights (80.6%) used recycled boosters, and only in 12 flights (7.1%) was a new rocket used with no attempt to recover the booster – these 12 flights are the only ones that potentially used an “expendable” rocket. Of these 12 flights, seven were to GTO, which has a sticker payload of 8,300 kg. The maximum payload in those 7 flights was only 5600 kg, well below the sticker payload.
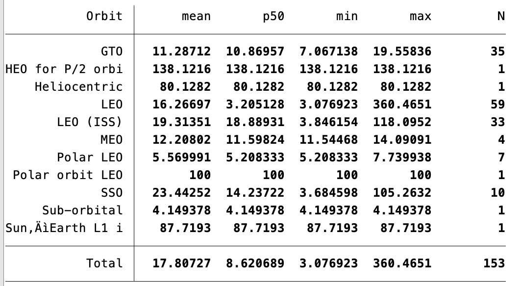
In fact most flights of the Falcon 9 have been far below its maximum payload. Figure 3 shows the mean, median, minimum and maximum payload by orbital destination for the 153 launches on which this data is available. No GTO flight has reached the sticker payload of 8300 kg, and the largest payload for LEO is 16250kg (all these flights were starlink deliveries, when the incentive and opportunity to use the maximum payload was greatest). Note the LEO(ISS) weights – these are deliveries to the International Space Station. Under the contract linked above, these flights are being paid for at somewhere between 100 and 400 million dollars per flight, giving a ludicrously high cost of – on average – between $20,000 and $85,000 per kg. This is potentially more expensive than the space shuttle, depending on the content and nature of the contract.

Figure 4 converts the values in Figure 3 to price/kg, assuming a price of $62 million for a new rocket or $50 million for a reusable rocket and ignoring higher prices for NASA or NRO contracts. These are to the best of my ability to tell the minimum price charged by SpaceX – in reality it is probably charging a lot more. For example on 30th June 2021 a Falcon 9 was launched that carried 88 rideshare payloads – this probably cost $6000/kg, judging from the website, and so the whole flight could have cost as much as $98 million. Even then, this figure is low compared to some of the low earth orbit launches, which could have cost as much as $360,000 per kg.

Figure 4 makes very clear that the sticker or theoretical price of rocket launches has almost no relationship to the actual costs, which can be much larger depending on the type of cargo shipped and the nature of the orbit it is sent to. This should be borne in mind in the next section.
Analysis of the history of launch prices
Figure 5 shows the price/kg of rocket launches from 1962 to 2018, with launches coloured blue for non-communist and red for communist states. Corresponding lines of best fit from the regression model are shown in the same colour, and some indicative Falcon 9 launch prices are plotted at the end in green. For indicative Falcon 9 prices I chose a) the median LEO price of $3210/kg; b) the optimum true LEO price of $3030/kg; c) a likely ISS supply price of $7,880/kg based on a $134 million contract; and d) the dishonest website price everyone quotes of $2,700/kg. We could also include $6000/kg, which is cited on the website for rideshares, but I forgot to, and can’t be bothered making this figure again.

As can be seen, the Falcon 9 optimum and some of its median launch costs are on the curve for communist systems, while the optimum ISS launch contract price lies just above the historical trend for US rockets. In fact, the predicted price for 2022 for the US system would be about $6000/kg, which is exactly the rideshare price that SpaceX cites on their website.
So in fact, far from revolutionizing the cost of launching rockets, SpaceX’s Falcon 9 is exactly consistent with the long-term historical decline in prices observed for launches from the US or its allies (mostly Japan). SpaceX have done nothing to advance the price of launches except to be there, commercializing a mature technology.
Conclusion
The final conclusion of all of this is that SpaceX are lying about the price to launch stuff into space on their rockets, and the media are uncritically repeating their fabricated price without checking its validity, comparing it with other prices available on the SpaceX website, comparing it with the prices that would be implied by SpaceX’s government contracts, or looking at the evidence from actual SpaceX flight data. The true price of launching stuff into space on a SpaceX rocket is likely more like $6,000/kg, more than twice the number they are citing.
Furthermore, this price is not a revolutionary drop in the cost of launching, and is in fact entirely consistent with the historical trend in US rocket launch prices. The best prices Falcon X manages to achieve are also not unusual, being simply normal prices for a Chinese or Russian rocket. The claim that SpaceX is doing anything special to drive down rocket prices is just more Muskrat hype, with no basis in reality at all.
It is also clear that reusability has not driven down the price of launches. Reusability incurs a payload penalty, since the rocket needs to be stronger and some fuel needs to be reserved for re-entry. Reusability is also not a radical new idea: the space shuttle’s booster rockets were reusable, and SpaceX’s sole advance on this 1980s technology has been to land them on a barge rather than beside one. This likely speeds up the time to return them to use, and slightly reduces the penalty incurred for robustness (since the rockets don’t need to resist the crash into the water) but it also significantly increases the amount of reserve fuel needed for re-entry. In fact United Launch Alliance (ULA), a SpaceX competitor, analysed reusability and found that it does not necessarily deliver much cost benefit for these reasons. There are formulae for the calculation of how many re-uses are needed for a recyclable rocket to be cheaper than an expendable one, available at the documents linked in this discussion board, and they suggest that in general it only reduces costs in the long-run by about 5%. So no, SpaceX has not revolutionized anything in this regard either.
So in conclusion, SpaceX is not revolutionizing space travel, it has not driven prices down at all relative to the long-term trend, launches with SpaceX cost considerably more than their PR suggests, and SpaceX is essentially a low-quality internet service provider with a side-hustle in military contracting, being heavily propped up by murky venture capital. Elon Musk is not, and never will be, anything except a scammer, and in future decades people will look back on how he was viewed in this period with confusion, scorn and disbelief.
Leave a comment