We’ve all been there: Your PC is up against a much weaker opponent, deploying your primary power or skill, but in the crucial moment the d20 roll comes up low for you or high for the opponent, and you once again find that your best power failed you when you were sure it would work. This happens all the time in D&D because the d20 has a flat distribution and that means that low rolls are just as likely as high ones. Although this means on average you might expect your best power to work, unless you are absolutely obliterating your opponent you can’t rely on the dice to turn up even in the ballpark of where you need them to be. This is also a problem in Cyberpunk (d10) and Warhammer 2nd Edition (d100). I have always found it really frustrating, because if use a peaked distribution we can be fairly confident that the dice will roll around about the middle of their distribution more often than the edge. I have complained about this many times, but I have never bothered to see how big a difference a peaked distribution would make to the flow of the game. So here I compare the easiest peaked distribution, 2d10, with 1d20 as a basic die structure for D&D. I have chosen 2d10 because the average roll is about the same as 1d20, and its most likely value is close to the basic DC values of D&D, which are abut 9-11.
Method
For this analysis I have conducted three basic calculations, on the assumption that a PC (the “attacker”) is in a challenged skill check with another PC or enemy (the “defender”):
- Comparing the probability of success for the attacker for every die roll on a 1d20 and a 2d10 basic roll
- Estimating the total probability of success for the attacker across a wide range of possible skill bonuses, and comparing these probabilities for 1d20 and 2d10
- Comparing the probability of success for a highly skilled attacker against a low-skilled attacker, across a wide range of defensive bonuses
For objective 1 I have performed the calculations for attackers with skill values of +0, +4 or +8, against a defender with a bonus of +4 or +0. The specific pairings are shown in the figures below. I chose +4 because it is the basic bonus you can expect for a 1st level character using their proficiency bonus and their best attribute, and +8 as a representative high bonus. For objective 2 I have calculated total probability of success for attackers with bonuses ranging from -2 to +10, against defenders with skill bonus of +0, +4 or +6. I chose +6 because this is the typical bonus you expect of a 5th level character who is working with their proficiency and has sunk their attribute bonus into their top attribute. For objective 3 I have compared a PC with a +6 bonus to a PC with a +0 bonus, for defense bonuses ranging from -2 to +10.
Probabilities of success for any particular die roll are easily calculated because the distributions of 1d20 and 2d10 are quite simple. Total probability of success is calculated using the law of total probability as follows:
P(success)=P(rolls a 1)*P(defender doesn’t beat 1)+P(rolls a 2)*P(defender doesn’t beat 2) +…
I have presented all results as graphs, but may refer to specific numbers where they matter. All figures can be expanded by clicking on them. Analyses were conducted in R, which is why some axis titles aren’t fully readable – you can make them bigger but then they fall off the edge of the graphics window. Stupid R!
Results
Figures 1-3 show the probability of success for every point on the die (from 2 to 20) for 1d20 vs. 2d10. In all figures the 2d10 is in red and the 1d20 in grey, and a grey vertical line has been placed where the probabilities of success are equal for the two die types.
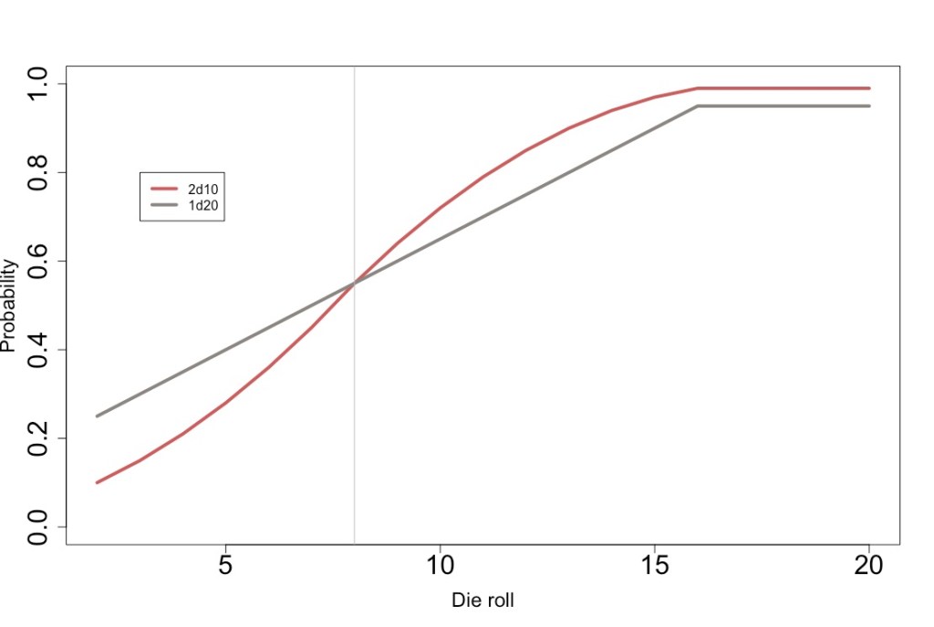
Figure 1 shows that the 1d20 has a better chance of success for all die rolls between 2 and 15. That is, if you have a bonus of +0 and the defender has a bonus of +4, you are better off in a 1d20 system for almost all rolls. The point where the probabilities for 1d20 and 2d10 are equal is a die roll of 16. This corresponds with the defender needing a 12+, and all die rolls after this (17-20) correspond with the defender needing to get a high number on the downward peak of the 2d10 distribution. It may seem counter-intuitive that the 1d20 system rewards you for rolling low, but it is worth remembering that the comparatively low rolls – below 10 – are less likely on a 2d10, so although if you do roll one you are less likely to succeed than if you had a 1d20 system, you are also less likely to roll one. We will see how this pans out when we consider total probability of success, below.

Figure 2 shows the probabilities of success for an attacker with +4 and a defender with +0. In this case we expect the attacker to win on a wider range of dice rolls, and this is exactly what we observe. Now the point where 2d10 is better for the attacker than 1d20 corresponds with dice rolls of 8 or more – in this case, dice rolls that the defender needs to get 12 or more to beat. We see the same process in action.

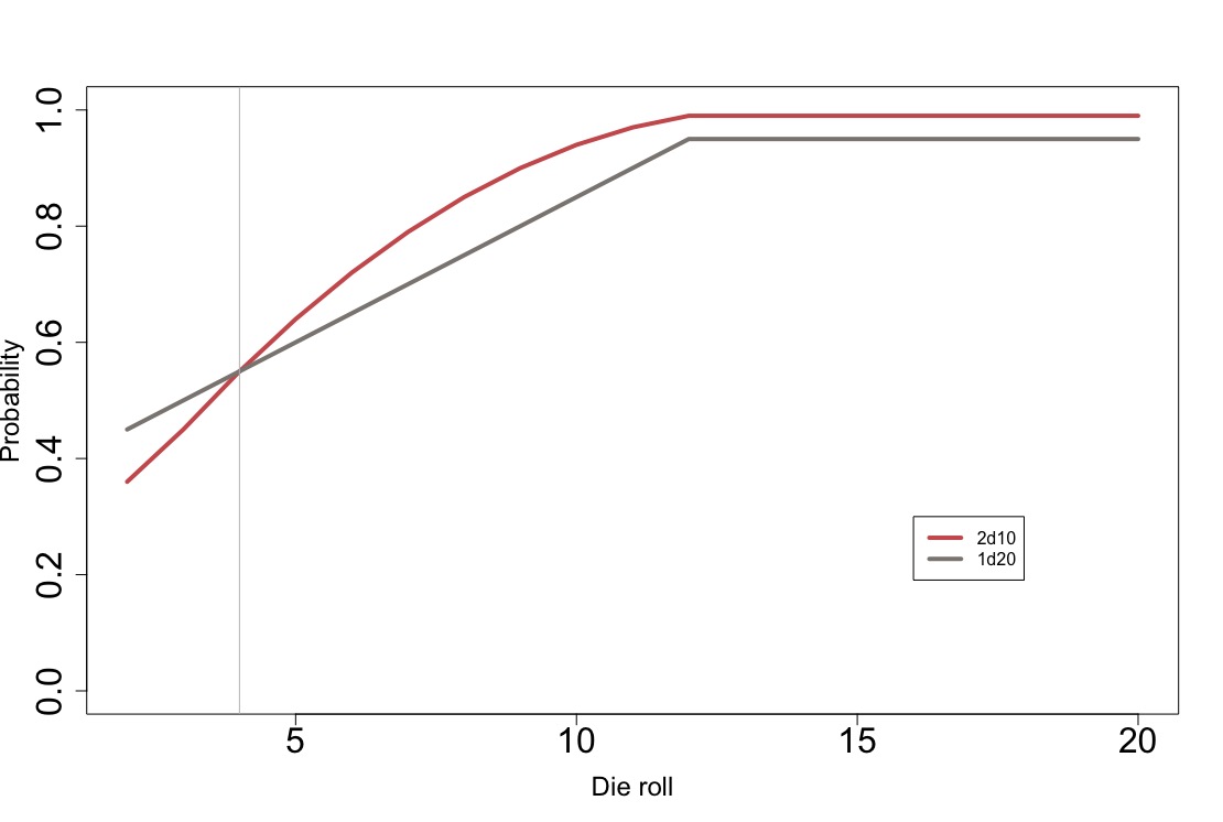
Figure 3 shows the probabilities of success for an attacker with +8 and a defender with +0. Now we see that the 2d10 is more beneficial to the attacker than the 1d20 from rolls of 4 and above – again, the point beyond which the defender needs to roll 12 or more.

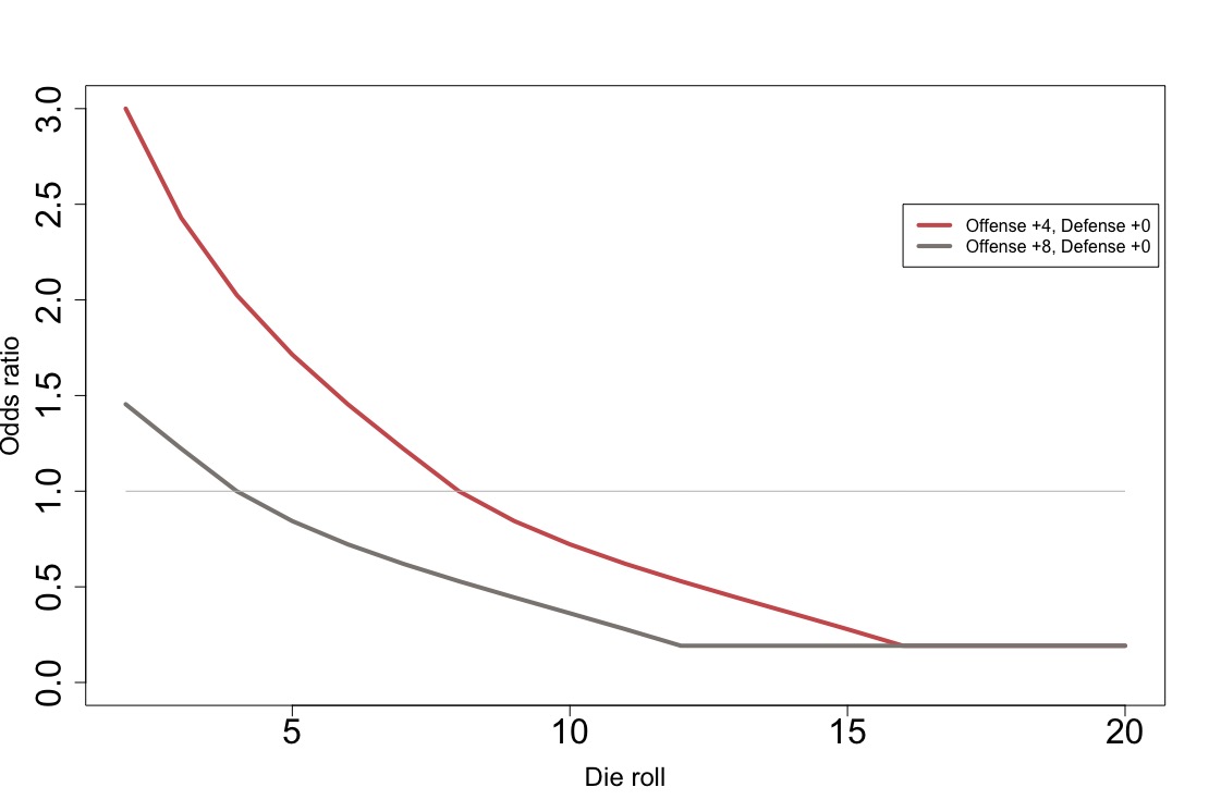
These results are summarized for two cases in Figure 4, which gives the odds ratio for success with a 1d20 compared to 2d10 at each die roll. The odds ratio is the odds of success with a 1d20 divided by the odds of success with a 2d10, calculated at the given dice roll point. I use the odds ratio because it is the correct numerical method for comparing two probabilities, and reflects the special upper (1) and lower (0) bounds on probabilities. The odds ratio grows rapidly as a probability heads towards 0 or 1, and reflects the fact that a 10% difference in probability is a much more meaningful difference when one probability is 10% than when one probability is 50%.

In this case I have shown only the case of an offense of +4 and a defense of +0, and an offense of +8 vs. a defense of +0. I used only these two cases because the case of +0 vs. +4 has such huge odds ratios that it is not possible to see the detail of the other two cases. This figure shows that for an offense of +4 and a defense of 0, the 1d20 has 2-3 times the odds of success at low numbers, but also much lower odds of success at high numbers. Effectively the 2d10 smooths out the probability patterns across the die roll, so that you get less chance of success if you roll poorly, and more chance of success if you roll well, compared to a 1d20.
Figures 5 to 7 show the total probability of success for 1d20 and 2d10 in three different cases. The total probability of success is the probability that you will beat your opponent when you roll the die. This is the probability you roll a 2 multiplied by the probability your opponent rolls greater than you, plus the probability you roll a 3 multiplied by the probability your opponent rolls greater than you, up to the probability you roll a 20. I have calculated this for a range of attack bonuses from -2 to +10, against three defense scenarios: 0, +4 and +6.
Figure 5 shows the total probability for 1d20 and 2d10 when rolled against a defense bonus of 0. Probabilities of success for both 2d10 and 1d20 are quite high, crossing 50% at about an attacking bonus of +0 as we would expect. The 2d10 roll has a lower probability of success than 1d20 for bonuses below 0, and a higher probability of successes for bonuses above 0.

Figure 6 shows the total probability of success for 2d10 and 1d20 against a defense bonus of +4. The ability of the 2d10 system to distinguish between people weaker than the defender and stronger than the defender is clearer here. At an attack bonus of -2 (vs. defense of +4) the 2d10 system has about a 10% lower chance of success than the 1d20; conversely, at attack bonus of +10 (vs. defense of +4) it has about a 10% higher probability of success. Both systems have an approximately 50% chance of success at a bonus of +4, as we expect.

Figure 7 shows the total probabilities against a defense bonus of +6. Again we see that the 2d10 system slightly punishes people with a lower bonus than the defender, and slightly rewards people with a higher bonus.

These results are summarized as odds ratios of success for 1d20 vs. 2d10 in Figure 8. Here the odds ratios are charted for the full range of attacker bonuses, with a separate curve for defense bonus of +0, +4 or +6. Here an odds ratio over 1 indicates that the 1d20 roll has a better chance of success than the 2d10, while an odds ratio below 1 indicates the 2d10 roll has a better chance of success. From this chart you can see that for all offense bonuses lower than the defense bonus, the 1d20 system gives a higher probability of success than the 2d10 system. As the defense bonus increases this relative benefit grows larger.

The odds ratio curves in Figure 8 raise an interesting final point about the 2d10 system vs. the 1d20 system. Since the 1d20 system has higher probabilities of success at low offense bonuses, and relatively lower probabilities of success at higher offense bonuses, it should be the case that the difference in success probability between a skilled PC and an unskilled PC will be smaller for the 1d20 system than for the 2d10. That is, if your PC has a bonus of 6 and is attempting to do something, he or she will have a higher chance of success than a person with a bonus of 0, but the relative difference in success probability will not be so great; this difference will be more pronounced for someone using 2d10. To put concrete numbers on this, in the 1d20 system a PC with a +6 bonus trying to beat a defense of +2 has a 65% chance of success, while a PC with a +0 bonus has a 39% chance of success. In contrast, using 2d10 the PC with the +6 bonus has a 72% chance of success, while the PC with the +0 bonus has a 34% chance of success. These greater relative differences are important because they encourage party diversification – if people with large bonuses have commensurately better chances of success than people with small bonuses, then there is a good reason for having distinct roles in the party, and less risk that e.g. even though someone has specialized in stealth, the chances that the non-stealthy people can pull off the same moves will be high enough that the stealth PC does not stand out.
This effect is shown in Figure 9, where I plot the odds ratio of success for a PC with +6 bonus compared to +0 bonus, against defense bonuses ranging from -2 to +10, for both dice systems. It shows that across all defense bonuses the odds ratio of success for a PC with +6 bonus is about 3 times that for a person with +0 bonus when we roll 1d20. In contrast, with 2d10 this odds ratio is closer to 6, and appears to grow larger as the defense bonus increases. That is, as the targeted task becomes increasingly difficult, the 2d10 system rewards people who are specialized in that task compared to those who are not; and at all difficulties, the difference in success chance for the specialist is greater than for the non-specialist, compared to the 1d20 system.

Conclusion
Rolling 2d10 for skill checks and attacks in D&D 5th Edition makes very little overall difference to the probability distribution of outcomes, but it does slightly change the distribution in three key ways:
- It increases the chance that a high dice roll will lead to success, and reduces the chance of success on a low dice roll;
- It lowers the probability of success for PCs targeting enemies with higher bonuses than they have, and raises the probability of success for PCs with higher bonuses;
- It increases the gap in success chance between specialist and non-specialist PCs, rewarding diversification of skills and character choices
The 2d10 system does not change the point at which the PC has a 50% chance of success, but it does reduce the probability of criticals. It is worth noting that with a 2d10 system, the process for advantage requires rolling 4d10 and picking the best 2 (rolling 3d10 and picking the best 2 actually reduces the probability of a critical hit). Some might find this annoying, though those of us who enjoy dice pool games will be happy to be rolling 4d10. For those who find it annoying, dropping advantage altogether and replacing it with +3 will likely give the same results (see e.g. here and here). But if you like rolling lots of dice 4d10 choose 2 sounds more fun than 2d20 choose 1.
I don’t think that switching to 2d10 will massively change the way the game runs or really hugely unbalance anything but it will ensure that when you roll high you can have high confidence of success against someone of about your own power; and it will ensure that if you are the person in the party who is good at a task (like picking locks, sneaking, or influencing people) you will be consistently much more likely to do it than the rest of your group, which is nice because it makes your shine really shine. So I recommend switching to 2d10 for all task resolution in D&D.
A final note on DCs
The basic DC for a spell or special power used by a PC in D&D 5e is 8+proficiency level+attribute. This means that against someone with proficiency in the given save and the same attribute bonus as you, they have a 60% chance of avoiding your power. I think that’s very poor design – it should be 10+proficiency+attribute, so that against someone with your own power level you have a 50% chance of success, not 40%. It could be argued that 40% is reasonable since people often take half damage on a save and the full effect of a spell is quite serious, but given wizards have few spells (and most other powers are restricted in use), this doesn’t seem reasonable. So I would consider adding 2 to all save DCs in the game, regardless of whether you switch to 2d10 or stay on 1d20.
Leave a comment