In yesterday’s analysis I made the mistake of assigning random HPs to the fighters, which is not the way that Pathfinder works: at first level in Pathfinder all PCs receive maximum hit points.Thus yesterday’s post is actually a fairly faithful representation of survival in D&D 3.5 rather than Pathfinder. Today I’ve brushed off a particularly irritable Gruumsh and set him to work against another million random fighters, this time with properly-adjusted hit points, in order to see what effect this rule has on the relative importance of stats.
The result is that the relative importance of the three ability scores doesn’t change, but overall survival probability has increased to 39%. For 15% of our army, that’s good news. The curves depicting overall survival rates don’t change overmuch though (Figure 1), they just start from a higher base.

Figure 2 shows how the survival probabilities have changed for constitution when fighters start with maximum HPs compared to random HPs.

The odds ratios change only a little, showing the same overall pattern (Table 1).
| Variable | OR | P value | Confidence Interval |
| Strength | |||
| 2 to 3 |
1 |
||
| 4 to 5 |
0.24 |
0.001 |
0.11 to 0.53 |
| 6 to 7 |
0.08 |
0 |
0.04 to 0.19 |
| 8 to 9 |
0.04 |
0 |
0.02 to 0.08 |
| 10 to 11 |
0.02 |
0 |
0.01 to 0.04 |
| 12 to 13 |
0.01 |
0 |
0.01 to 0.03 |
| 14 to 15 |
0.01 |
0 |
0 to 0.01 |
| 16 to 17 |
0 |
0 |
0 to 0.01 |
| 18 to 19 |
0 |
0 |
0 to 0.01 |
| Dexterity | |||
| 2 to 3 |
1 |
||
| 4 to 5 |
0.99 |
0.9 |
0.82 to 1.19 |
| 6 to 7 |
0.86 |
0.1 |
0.72 to 1.03 |
| 8 to 9 |
0.72 |
0 |
0.61 to 0.86 |
| 10 to 11 |
0.6 |
0 |
0.5 to 0.72 |
| 12 to 13 |
0.49 |
0 |
0.41 to 0.58 |
| 14 to 15 |
0.39 |
0 |
0.33 to 0.47 |
| 16 to 17 |
0.31 |
0 |
0.26 to 0.37 |
| 18 to 19 |
0.23 |
0 |
0.19 to 0.28 |
| Dexterity | |||
| 2 to 3 |
1 |
||
| 4 to 5 |
0.95 |
0.56 |
0.78 to 1.14 |
| 6 to 7 |
0.75 |
0.002 |
0.63 to 0.90 |
| 8 to 9 |
0.56 |
0 |
0.47 to 0.67 |
| 10 to 11 |
0.4 |
0 |
0.33 to 0.47 |
| 12 to 13 |
0.31 |
0 |
0.26 to 0.37 |
| 14 to 15 |
0.26 |
0 |
0.22 to 0.31 |
| 16 to 17 |
0.24 |
0 |
0.2 to 0.29 |
| 18 to 19 |
0.24 |
0 |
0.2 to 0.29 |
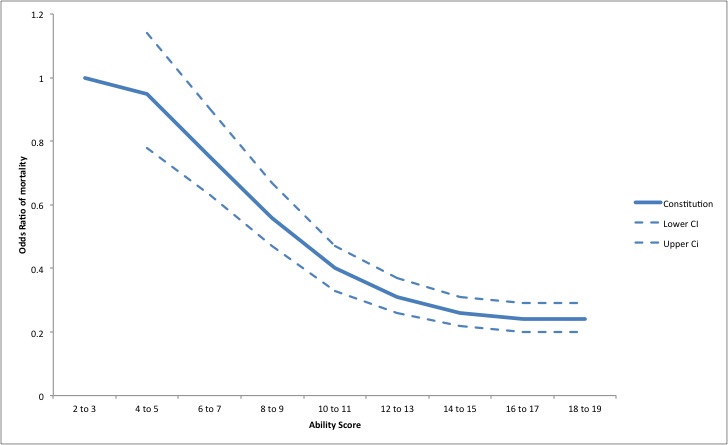
These are quite similar odds ratios to the situation with random Hit Points, except that the effect of higher constitution scores is a little greater (though still not as important as dexterity). Figure 3 shows the revised odds ratios for constitution.

Conclusion
In Pathfinder, applying the proper rule at first level in which all fighters receive maximum hit points, overall survival increases from 25 to 38%, but constitution remains the least important ability score. The similarity in effect of dexterity and constitution in this revised simulation suggests that the role of feats will be crucial in determining which ability score to prioritize after strength, but the most important ability score remains strength. Probably over multiple levels, as random hit points begin to take their toll, constitution will be more important than dexterity, but we will test that later. The main finding is that although maximum hit points increase survival overall relative to D&D 3.5, they don’t change the overall importance of strength, and they do narrow the difference between dexterity and constitution.
Leave a comment