We saw in my previous post how a simple character is made in the Double Cross role-playing game. I have subsequently skipped across the more complex character generation rules straight to the bit about how the characters operate in practice, i.e. how tasks are resolved. This is basically divided into two parts, the standard skill resolution system and combat. It’s also very strange, because it uses a mechanism I’ve never seen before.
The basic resolution mechanism
The basic resolution mechanism is the use of a pool of d10s to calculate a value, which is compared against a difficulty to determine success. However, instead of simply counting successes on dice (as in Exalted) or summing all the dice (which would, I contend, be madness), Double Cross 3 uses an insane hybrid. Under this system, you roll all the dice and take the maximum value that occurs on the dice. This would give you a value between 1 and 10 (which for large dice pools will almost always be 10!), except that Double Cross 3 has a critical system, in which any die that rolled up a 10 is rerolled, and the maximum of this new pool of dice is then added to the previous maximum (10). This continues until all subsequent sets of 10s have been exhausted. We’ll consider an example of this shortly.
Rolls of 10 are considered a critical, but it’s possible through syndrome effects to reduce the number required for a critical from 10 to, say, 8 or 6. In this case any die that hits or goes above the critical number is rerolled, and added on to the maximum from the previous roll. It’s not clear from the rolls whether this maximum is the new critical effect limit, or the maximum on all the dice. If the latter, things get very fiddly. There is an example in the book of someone rolling 16 ten-sided dice against a critical target of 8, for a total of 33.
The difficulty classes are given as:
- Easy: 3 – 5
- Normal: 6 – 9 (success to be expected in most cases)
- Difficult: 10 – 13
- Really Hard: 14+
However, challenged skill checks go directly off the competing skills, so if you have a PC using stealth against an NPC it will be a direct application of their body against the target’s sense, with the higher roll winning.
Example
It’s a little fiddly, so let’s consider an example. Yumiko has a sense of 9, and 4 levels in missile combat, so when she attacks with a gun she rolls 9 10-sided dice, and adds the 4 for her missile combat skill at the end. Let’s consider such an attack. Her fine specks gives her an extra (level*2) dice, or 2, in this case, for a total of 11. I don’t have enough dice for that sort of stuff, but let’s give it a go. She rolls and gets… 1,2,2,2,5,6,7,8,9,10,10.
That’s pretty poor. So we roll the two 10s, to get… 4 and 5. So adding the maximum of the previous round (10) to this round (5) and her skill of 4 gives us a total of 19.
Yumiko’s body is 1, with 1 level of dodge skill. So if she wants to avoid getting hit she needs to roll above 19 on that 1 die… let’s try it. She rolls and gets… 10! Rolling again gives us… 4, for a total of 14, +1 for dodge gives 15.
So Yumiko hit herself. Damage is then resolved as the total success roll divided by 10, plus 1, plus any effects due to syndromes. So in this case it would be 19/10, plus 1, or 3 dice, plus any weapon/syndrome effects. After this Yumiko gets to take off effects of armour, and the remains are hit points of damage. I haven’t yet found the rules on rounding down damage. I presume the same effects apply in other situations where damage can be applied.
That seems quite potent; with 3 dice one can easily struggle above 15 damage, and our little schoolgirl only has 23 hit points.
Some notes on this mechanic
This mechanic is fundamentally a pretty tricky one, combining as it does the counting aspects of a system like Exalted and the adding of systems like D20, along with division at the end. It also includes a system of challenged dice rolls, which I’ve been suspicious about since I tried playing Talislanta (I think it was Talislanta). Challenged dice rolls are also a property of warhammer 2, which takes a long time to chug through skill resolution. This system could take an awfully long time if one has low critical thresholds and high dice pools – Yumiko is first level and already up to 11 dice!
Probabilistically, this die-rolling mechanism is evil. It involves taking a sum over maximums of chains of multinomial distributions where one parameter in each link of the chain (the number of trials) is conditionally distributed according to the results of the previous step in the chain. Compare this to the standard Exalted mechanism, which is simply a sum of multinomial distributions where each multinomial distribution has 3 outcome values (0,1 or 2) with relatively fixed probabilities (0.6, 0.3 and 0.1 respectively) and the number of trials is fixed (by the dice pool). Simple!
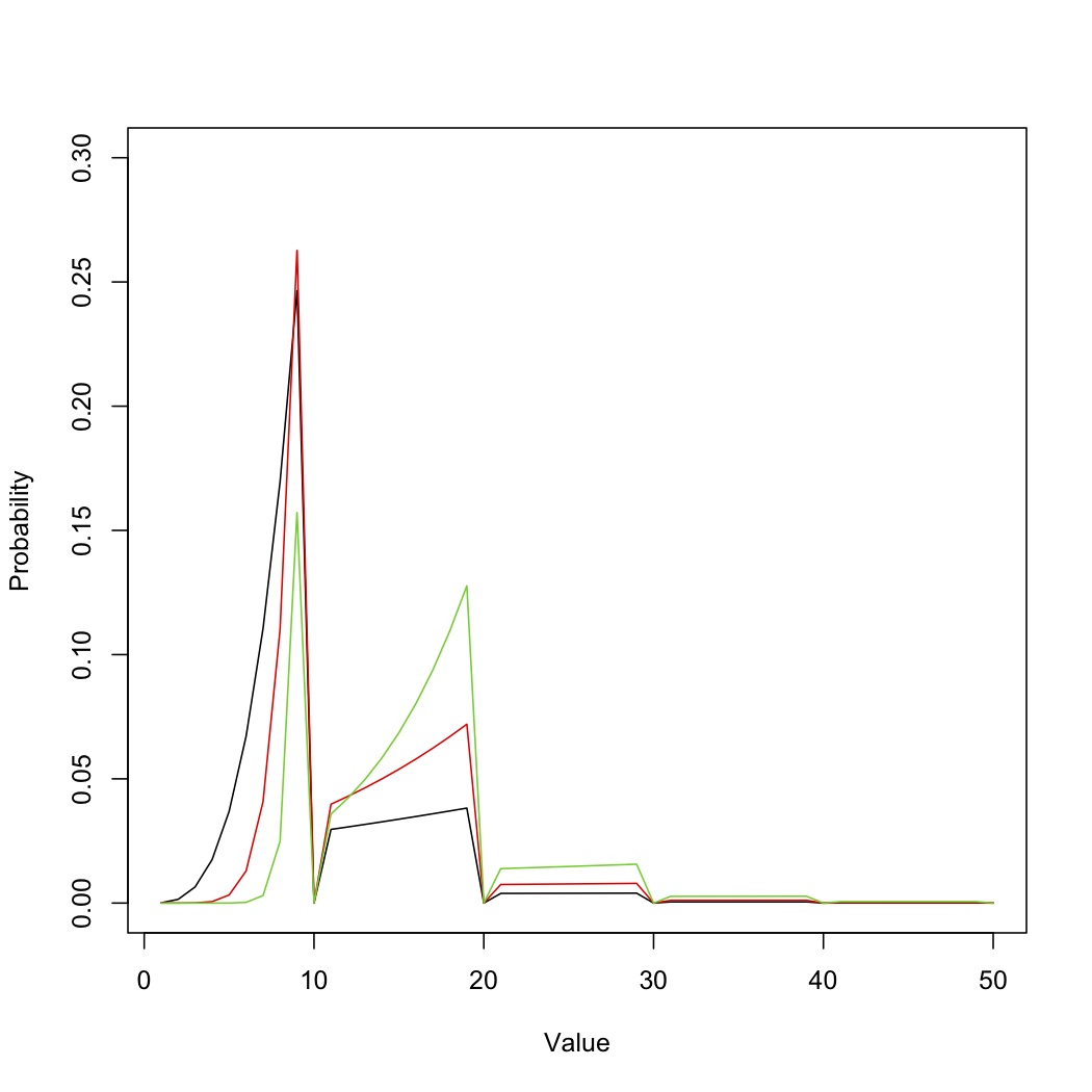
So, over a period of some days, I have calculated the probability distribution for the skill system, which can be done using transition matrices[1]. I ran some calculations in the stats package R, and the probability distributions are shown in the figure below for three sizes of dice pool: 4 dice (black), 8 dice (red) and 16 dice (green). I also ran some simulations (not shown) which roughly reproduce these probability distributions, so I think they’re correct[2,3].

So with 4 or 8 dice there is a 25% chance of getting a 9, and in all dice pools of size up to 16, 9 is the most likely value. This kind of surprised me, but obviously it has to be true. Actually 10 is the most likely value, but it gets redistributed immediately across the remaining (infinity – 10) values. Considering just the first 9 values, in a die pool of size 16 as soon as you roll a 9 all other values become irrelevant; whereas if you roll a 2, any of the remaining 15 dice could be larger. So, on any die pool larger than 1, 9 is the most likely value when you’re taking maxima. The Double Cross authors seem to have recognised this by setting the difficult skill checks to above 10; on a roll of 4 dice there’s only a 35% chance you’ll get above 10. Of course, starting with 11 dice the probability is 69%, so really it’s not so hard for Yumiko to do hard things with her sense (i.e. her guns).
This is the weirdest skill resolution mechanism I’ve ever seen. It’s going to be fun just for its sheer kookiness, but I suspect it breaks down fast. As soon as I get a chance to play this, I’ll let you know…
—
fn1: We can represent the process of calculating the total as a series of steps, with the full dice pool rolled at step 0. For a dice pool of size k, we can define a matrix P, whose ij-th entry gives the probability of going from i dice in a step to j dice in the following step; a starting state vector s, which is a vector of length k whose j-th entry represents the probability of j 10s occurring in the first roll; and a final probability matrix Q of size kx9 representing the probability of any number less than 10 occurring at a given size of dice pool up to and including k. The number of steps required to reach a given value x can be calculated as the quotient of l=x/10. Denote this number of steps as j. Then the value x can be written as x=l*10+r. For step 0 we calculate the probability of 1 to 9 directly in order to construct the first row of Q. For all step sizes greater than 0, we calculate the probability vector of all values occurring at step l as t(s)P^(l-1)Q, where here the t() represents the transpose (I can’t write maths here easily). The probability of the value x is simply the r-th entry of this vector[2].
fn2: You probably think I have too much time, and right now I *really* don’t, but I haven’t done any decent stats in 6 months and this kind of stuff is fun for a weirdo like me.
fn3: Actually I think there’s a tiny error in these values, because the sum over 40 or 50 values doesn’t come to less than 1 in all cases, which it must do. But they’re close enough, and I can’t find what the error could be, so stuff it. I think there is a very small error in my calculation of the probability of maximum values, or I have to include some modification for the probability of stopping at step l, but I can’t quite see how to do it.
Leave a comment